williamhill中文与关岛大学、澳大利亚国立大学等机构联合开展的南岛语族远洋迁徙与稻作农业传播国际合作项目取得重要进展。研究团队通过对关岛里提迪安遗址(Ritidian)多处地点和塞班岛的乌奈·巴波特遗址(Unai Bapot)出土陶器的残留物和原料等开展多学科分析,首次确认了距今约3500年前水稻已在北马里亚纳群岛得到利用,解决了远太平洋地区稻作出现时间的长期争议,填补了南岛语族扩散和早期农业传播过程的关键空白。研究成果于6月25日发表在国际权威期刊Science Advances上。
南岛语族的起源与扩散背景
南岛语族(Austronesian)是指使用南岛语系(Austronesian language family)语言的族群,该语系包括超过1200种语言,使用人口近4亿,主要分布在中国台湾、东南亚岛屿、太平洋岛屿和马达加斯加等广阔的岛屿地区,是西方殖民时代之前分布地域最广的一个语系。其起源与形成过程的研究一直是国际学术界关注和争议的热点。
过去几十年来,考古学、语言学和遗传学等领域的研究不断推进,各类研究成果越来越清晰地证实:南岛语族的祖先大致在距今5000年前后从我国大陆东南沿海到达台湾地区,经过数百年的繁衍生息后,于距今约4200年开始向外扩散,先后进入菲律宾的吕宋岛及其他岛屿、印度尼西亚群岛和北马里亚纳群岛,最终深入到广阔的太平洋岛屿地区。这一过程前后持续近三千年,成为人类发展史上最为壮阔的迁徙史诗,也在人类历史上第一次征服了远太平洋岛屿。
伴随着这一人群迁徙事件的发生,陶器、磨制石器、农作物和家养动物等新石器时代的技术要素也首次出现在相关岛屿,彻底改变了当地的人群结构、生活方式乃至社会结构。其中,稻作农业一直被认为在这一迁徙过程中具有重要的地位,甚至可能奠定了人口增长和对外扩张的最初动力。然而,值得注意的是,在离开印尼群岛进入远太平洋岛屿地区之后,由于气候和地理等条件的限制,这些人群似乎放弃了稻作农业,转而更多依赖面包树、芋头、香蕉等作物和海洋资源。

▲ 研究区域与遗址位置示意图
A.北马里亚纳群岛及里提迪安和乌奈·巴波特遗址位置 B.里提迪安遗址部分地点分布图(蓝色虚线为距今3500-3100年的海岸线) C.北马里亚纳群岛位置及早期人群进入远太平洋地区的两条路线示意图
北马里亚纳群岛稻作何时出现的长期疑问
在众多的远太平洋岛屿中,关岛、塞班等北马里亚纳群岛是唯一可能的例外。根据16至17世纪西方殖民者的部分记录,在他们到达之初,当地已有水稻的种植和利用。后来的一些考古工作也在距今约1000年以来的个别陶器上发现有稻壳印痕等零星证据,部分学者据此推测水稻传入本地的时间可以追溯到这一较为晚近的阶段。
在语言学上,北马里亚纳群岛使用的查莫罗语(Chamorro)通常被认为与菲律宾中部的南岛语关系较为密切,因此,语言学家认为这一人群可能直接源于菲律宾中部或北部地区。查莫罗语中表达水稻(植株)、稻穗、稻谷、稻米、米饭等的词汇也被认为直接继承自原始南岛语(proto-Austronesian)。近年的考古发掘和研究已经明确地证实,人类到达北马里亚纳群岛的时间可以追溯到距今约3500年,陶器等文化遗存特征的对比以及古DNA研究都一致地显示,这些史前居民可能直接源自菲律宾北部或中部地区。

▲ 查莫罗语中水稻相关的词汇(摄于关岛博物馆)
那么,北马里亚纳群岛的稻作究竟源于距今3500年前这次跨越大约2300公里的迁徙事件,还是一千多年后通过其他途径再次传入,便成为一个颇具争议且长期悬而未决的问题,也影响到对南岛语族征服远太平洋岛屿过程的宏观认识。
多学科研究首次确认3500年前水稻利用证据
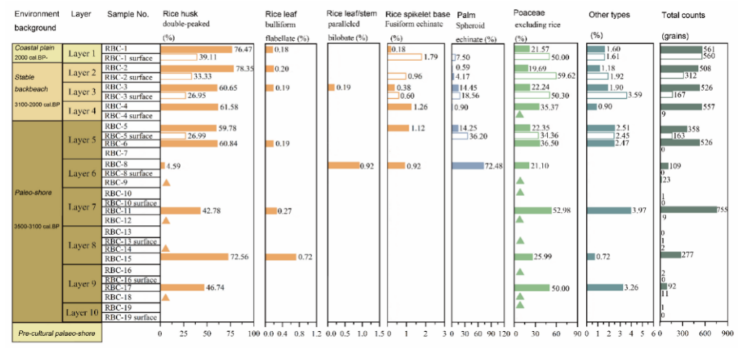
为解决上述疑问,williamhill中文与相关研究机构合作,应用陶器残留物分析、微CT扫描和陶器岩相分析等方法,取得了突破性进展。研究选取的样本来自关岛北部的里提迪安和塞班岛的乌奈·巴波特两处当地已知年代最早的遗址,其中里提迪安遗址的样品来自海滩洞(Beach Cave)、星星洞(Star Cave)两处洞穴(文化堆积实际位于洞口外小范围区域)和古海岸居址(Paleoshore habitation location)等三处地点,两处遗址的年代上限均为距今约3500年。

▲ 里提迪安遗址海滩洞地点
分析结果显示,海滩洞地点各层出土的陶片表面均发现了较为丰富的稻属植硅体,包括来自稻壳的双峰型、小穗轴部位的具刺纺锤型、叶片和茎秆的扇型及并排哑铃型等,总体上以双峰型最为丰富,几乎贯穿整个序列。相比之下,星星洞和古海岸居址点的陶片发现的植硅体极为零星,且未发现任何稻属植硅体。对海滩洞和其它地点各地层土样的植硅体分析,同样未发现任何稻属植硅体,显示出水稻遗存与海滩洞地点早期陶器之间较为密切且特殊的联系。

▲ 里提迪安遗址海滩洞各样品出土植硅体统计图
乌奈·巴波特遗址的样品中虽然植硅体含量较高,但主要为来自棕榈类植物的刺球型和方型、尖型、刺棒型等普遍见于各类禾本科植物的植硅体类型,仅较晚阶段(第二层)的1件石器表面发现了2个双峰型和3个稻属扇型植硅体。
为了进一步确认海滩洞陶片表面的稻属植硅体为使用过程中的残留而非源自陶器原料,研究选取了1片表面稻属植硅体含量较高的陶片进行了微CT扫描,分析结果显示其主要原料为黏土和矿物,几乎未见有机质羼和料。对不同层位15片陶片的薄片岩相分析结果显示,其胎体由质地细腻、均质的黏土,以及源自安山岩基岩的陆源碎屑、新近纪石灰岩和珊瑚礁的碎屑等非塑性原料构成,同样未发现植物残留的迹象。

▲ 里提迪安遗址海滩洞陶片原料微CT分析结果
综合这些证据不难看出,里提迪安遗址的海滩洞地点是目前所分析的北马里亚纳群岛各遗址和地点中较为特殊的一处,史前居民曾长期在此从事与稻谷利用有关的活动,结合遗址的碳十四年代结果,这一传统最早可追溯到距今3500年。
稻谷或主要用于仪式性用途
关于古人在海滩洞周边从事何种与稻谷利用相关的活动,由于现有考古证据有限,尚难以做出全面复原。值得注意的是,这些表面稻属植硅体含量较高的陶器,个体大多较小(直径5-20厘米),制作相对精细,表面施有典型的红衣,不少陶片表面还装饰有精致的齿状压印纹,其他地点常见的一般食用贝类在此处却很少发现。考虑到查莫罗人传统中,洞穴通常被视为神圣的空间,古人或许主要在此从事某些仪式性活动,而非日常的稻米加工和炊煮。
古环境的重建结果也显示,在距今三千多年前,关岛如今的海岸低地和沉积尚未完全形成,地形以狭窄的海滩、抬升的石灰岩台地和陡峭的山地为主,适合种植水稻的土地面积十分有限。因此,稻米在当地应该是十分稀缺的资源。实际上,一些早期民族志材料也提到,查莫罗人只有在亲人性命垂危或者一些祭祀性的仪式活动中才会使用稻米,其日常食物与其他太平洋岛屿地区并无明显差异。因此,海滩洞发现的早期稻谷遗存或许也是某些仪式性活动的遗留,而非日常食用。
综上,本研究通过多种分析手段,首次在关岛确认了距今3500年的稻类遗存,不仅解决了远太平洋岛屿水稻出现时间的长期悬疑,还为水稻伴随早期人群的远洋迁徙提供了实证,填补了南岛语族扩散研究的重要缺环。
论文第一作者为关岛大学密克罗尼西亚研究中心教授Mike T. Carson,共同通讯作者包括邓振华(williamhill官方网站考古文博学经理聘副教授)、洪晓纯(澳大利亚国立大学文化、历史与语言公司研究员)及Mike T. Carson,共同作者包括武汉大学历史系公司博士后王维维、临沂大学资源与环境公司教授郇秀佳及williamhill中文硕士研究生董思奇。本研究得到澳大利亚研究委员会“发现”项目(DP140100384, DP190101839)和国家自然科学基金交叉学部重大项目(T2192953)的共同资助,相关工作的开展还得到关岛国家野生生物保护区、北马里亚纳群岛联邦历史遗产保护办公室的大力支持。